Θέματα Εξετάσεων

Η σελίδα ειναι υπο κατασκευή. Υπαρχει η Λίστα των μαθημάτων του τμήματος με τον αντίστοιχο κωδικό μαθήματος εντός παρενθέσης. Κατω απο κάθε μάθημα δίνονται πληροφορίες για τα διαθέσιμα θέματα (αν υπάρχουν), με την εξής κωδικοποίηση ΙΑΝxx, ΙΟΥΝxx, ΣΕΠxx για εξεταστικές Ιανουαρίου, Ιουνίου, Σεπτεμβρίου του έτους xx. Επίσης υπάρχουν και μερικά μαθήματα που στα αντίστοιχα θέματα υπάρχει η κωδικοποίηση ΠΡΟy-xx που σημαίνει οτι είναι η y πρόοδος του έτους xx. Κάνοντας κλίκ πανω τους φορτώνει η αντίστοιχη εικόνα-θέμα. Για επιστροφή πατήστε το BACK του Browser.Για να σώσετε κάποια εικόνα στον υπολογιστή σας πατήστε SHIFT και αριστερό κλίκ του ποντικιού. Τις εικόνες που έχετε σώσει μπορείτε να τις δείτε με ένα οποιοδήποτε πρόγραμμα που "διαβάζει" εικόνες gif/jpeg.

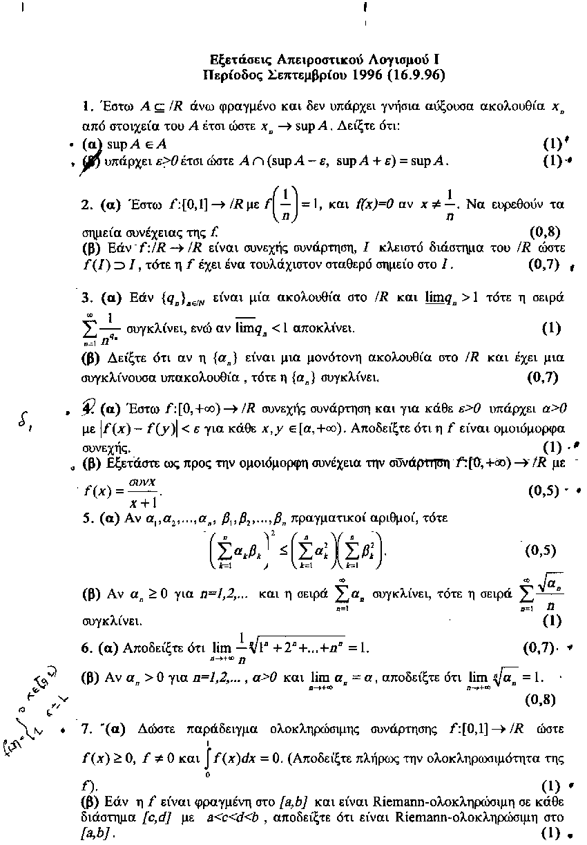
ΑΠΕΙΡΟΣΤΙΚΟΣ ΛΟΓΙΣΜΟΣ Ι (101) [ΣΕΠ96] [ΙΑΝ01]
ΑΠΕΙΡΟΣΤΙΚΟΣ ΛΟΓΙΣΜΟΣ ΙΙ (201) [ΙΟΥΝ95] [ΣΕΠ95] [ΙΟΥΝ99] [ΙΟΥΝ00] [ΣΕΠ00]
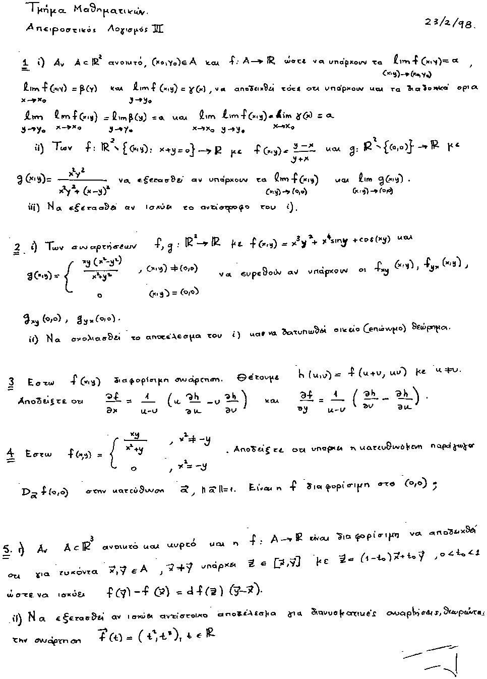
ΑΠΕΙΡΟΣΤΙΚΟΣ ΛΟΓΙΣΜΟΣ ΙΙΙ (301) [ΦΕΒ98 1/2] [ΦΕΒ98 2/2]
ΓΡΑΜΜΙΚΗ ΑΛΓΕΒΡΑ Ι (121) [IAN97 1/2] [IAN97 2/2]
ΓΡΑΜΜΙΚΗ ΑΛΓΕΒΡΑ ΙΙ (221)
ΑΝΑΛΥΤΙΚΗ ΓΕΩΜΕΤΡΙΑ (122)
ΠΛΗΡΟΦΟΡΙΚΗ Ι (141) [ΑΣΚΗΣΕΙΣ98]
ΠΙΘΑΝΟΤΗΤΕΣ Ι (241) [ΣΕΠ94] [ΣΕΠ95] [IAN97]
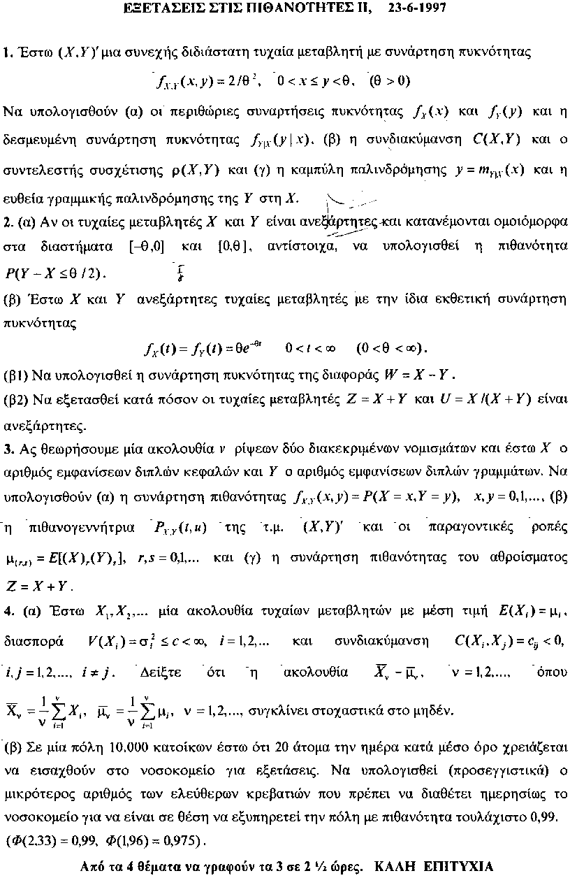
ΠΙΘΑΝΟΤΗΤΕΣ ΙΙ (442) [ΙΟΥ97]
ΑΛΓΕΒΡΑ Α (421) [IAN97] [ΣΕΠ98] [ΦΕΒ99] [ΙΟΥΝ99] [ΣΕΠ99] [ΣΕΠ00]
ΑΛΓΕΒΡΑ Β (821) [ΙΟΥΝ98] [ΙΟΥΝ99]
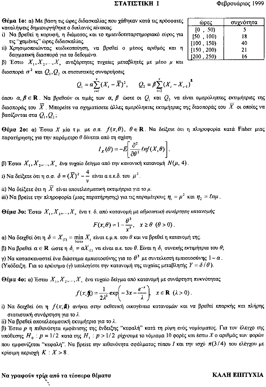
ΣΤΑΤΙΣΤΙΚΗ Ι (541) [ΦΕΒ99 1/2] [ΦΕΒ99 2/2]
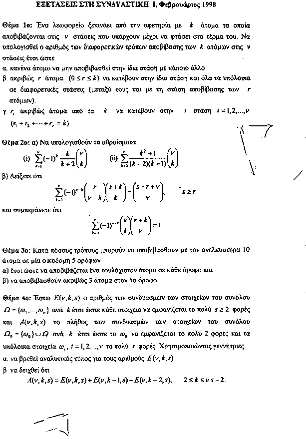
ΣΥΝΔΥΑΣΤΙΚΗ Ι (151) [ΙΑΝ97] [ΟΚΤ97] [ΦΕΒ98]
ΘΕΩΡΙΑ ΓΡΑΦΗΜΑΤΩΝ ΚΑΙ ΕΦΑΡΜΟΓΕΣ (373) [ΦΕΒ99 1/2] [ΦΕΒ99 2/2] [ΣΕΠ99 1/2] [ΣΕΠ99 2/2]
ΛΟΓΙΣΜΟΣ ΠΙΝΑΚΩΝ ΚΑΙ ΕΦΑΡΜΟΓΕΣ (432) [IOY97 1/2] [ΙOY97 2/2] [OKT97]
ΓΛΩΣΣΕΣ ΠΡΟΓΡΑΜΜΑΤΙΣΜΟΥ (451) [ΙOY99 1/2] [ΙOY99 2/2] [ΣΕΠ99 1/2] [ΣΕΠ99 1/2]
ΓΡΑΦΙΚΑ ΜΕ Η/Υ (453) [ΣΕΠ98]
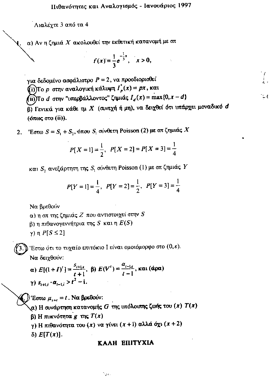
ΠΙΘΑΝΟΤΗΤΕΣ ΚΑΙ ΑΝΑΛΟΓΙΣΜΟΣ (553) [IAN96] [IAN97] [IAN98] [ΣEΠ98] [ΦEB99]
ΓΕΝΙΚΗ ΤΟΠΟΛΟΓΙΑ ΚΑΙ ΣΥΝΑΡΤΗΣΙΑΚΗ ΑΝΑΛΥΣΗ Ι (602) [IOY98] [ΙΟΥ01 ΣΕΛ1 ΣΕΛ2]
ΠΡΑΓΜΑΤΙΚΗ ΑΝΑΛΥΣΗ (401) [ΣΕΠ96] [IAN97] [ΣΕΠ97] [ΦEB98] [ΣΕΠ98] [ΦEB99] [IOY99] [ΣΕΠ99] [ΙΑΝ01 ΣΕΛ 1 ΣΕΛ 2] [ΙΟΥ01 ΣΕΛ 1 ΣΕΛ 2]
ΠΛΕΙΟΓΡΑΜΙΚΗ ΑΛΓΕΒΡΑ (631) [ΣEΠ94] [IOY95] [IOY97]
ΣΤΟΧΑΣΤΙΚΕΣ ΑΝΕΛΙΞΕΙΣ (651) [ΠΡΟ Α 99]
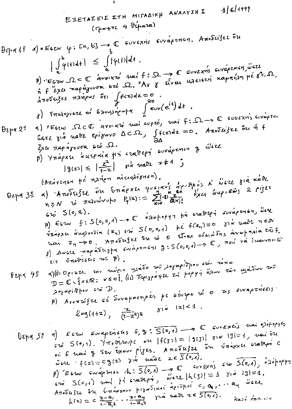
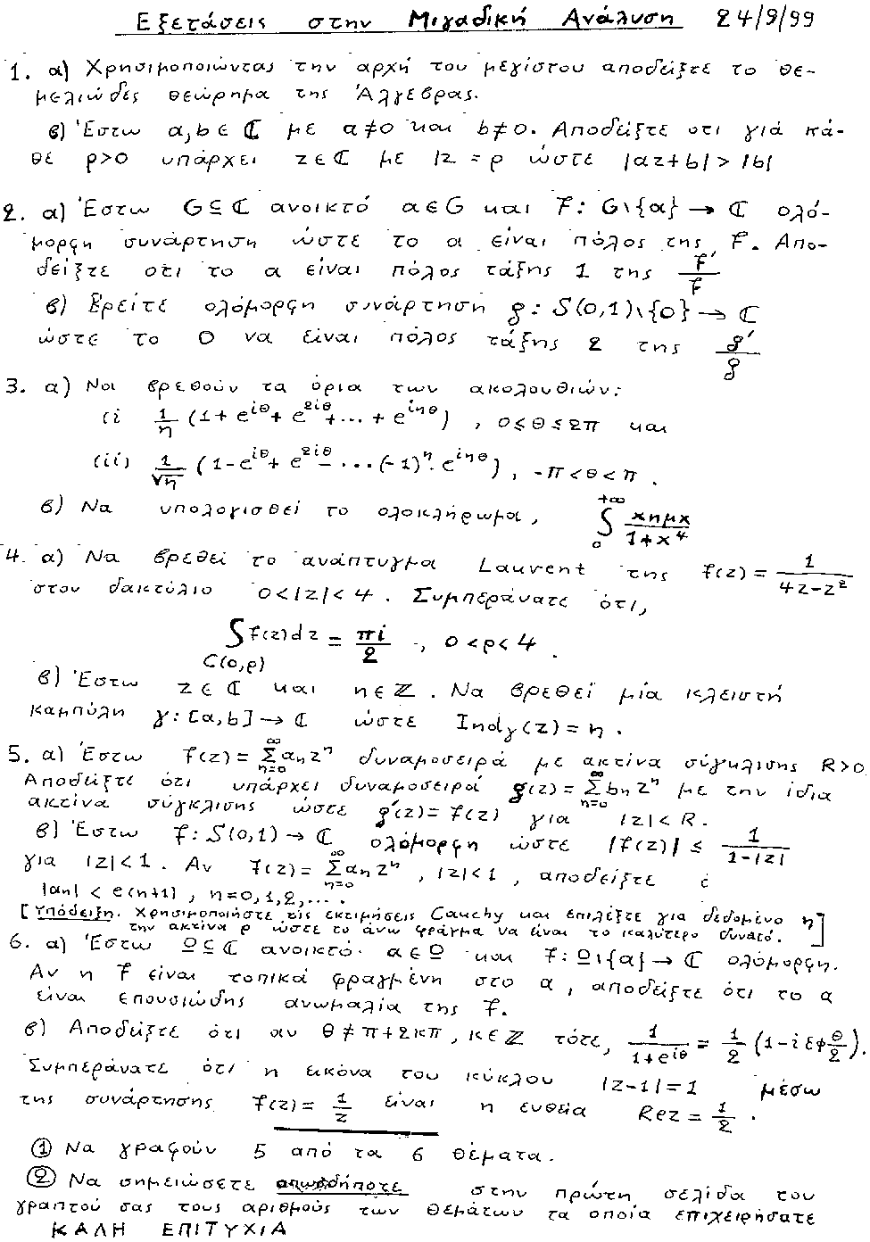
ΜΙΓΑΔΙΚΗ ΑΝΑΛΥΣΗ Ι (701) [IΟΥ99] [ΣΕΠ99] [ΙΑΝ01]
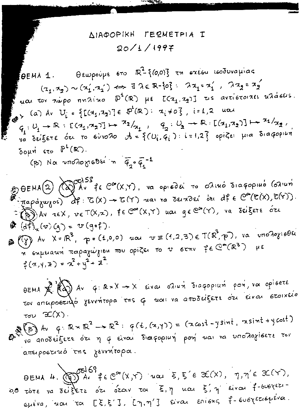
ΔΙΑΦΟΡΙΚΗ ΓΕΩΜΕΤΡΙΑ Ι (721) [IAN97]
ΔΕΙΓΜΑΤΟΛΗΨΙΑ (852) [ΦΕΒ99 1/2] [ΦΕΒ99 2/2] [ΣΕΠ99]
ΣΤΑΤΙΣΤΙΚΟΣ ΕΛΕΓΧΟΣ ΠΟΙΟΤΗΤΑΣ ΚΑΙ ΑΞΙΟΠΙΣΤΙΑ (854) [IOY99]
ΑΛΓΕΒΡΟΤΟΠΟΛΟΓΙΚΕΣ ΔΟΜΕΣ (731) [ΦEB97]




Επισκέπτες απο
τις 20/04/01
2298

©GNG Network 1999